Tax Return Preparation
Tax Return Preparation
Available to ship in 3–5 business days.
Couldn't load pickup availability
OVERVIEW
US Tax Preparation - Licensed IRS PTIN Holder- Practicing CPA (GU) (License # 4470)
Tax Preparation - Licensed IRS PTIN Holder
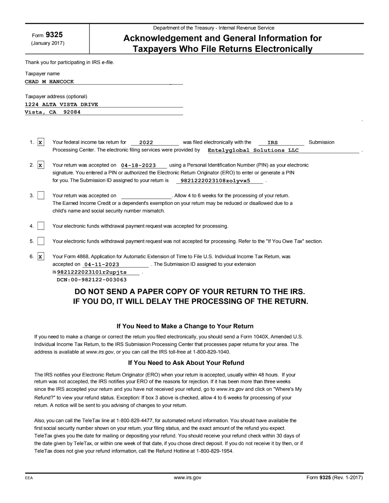
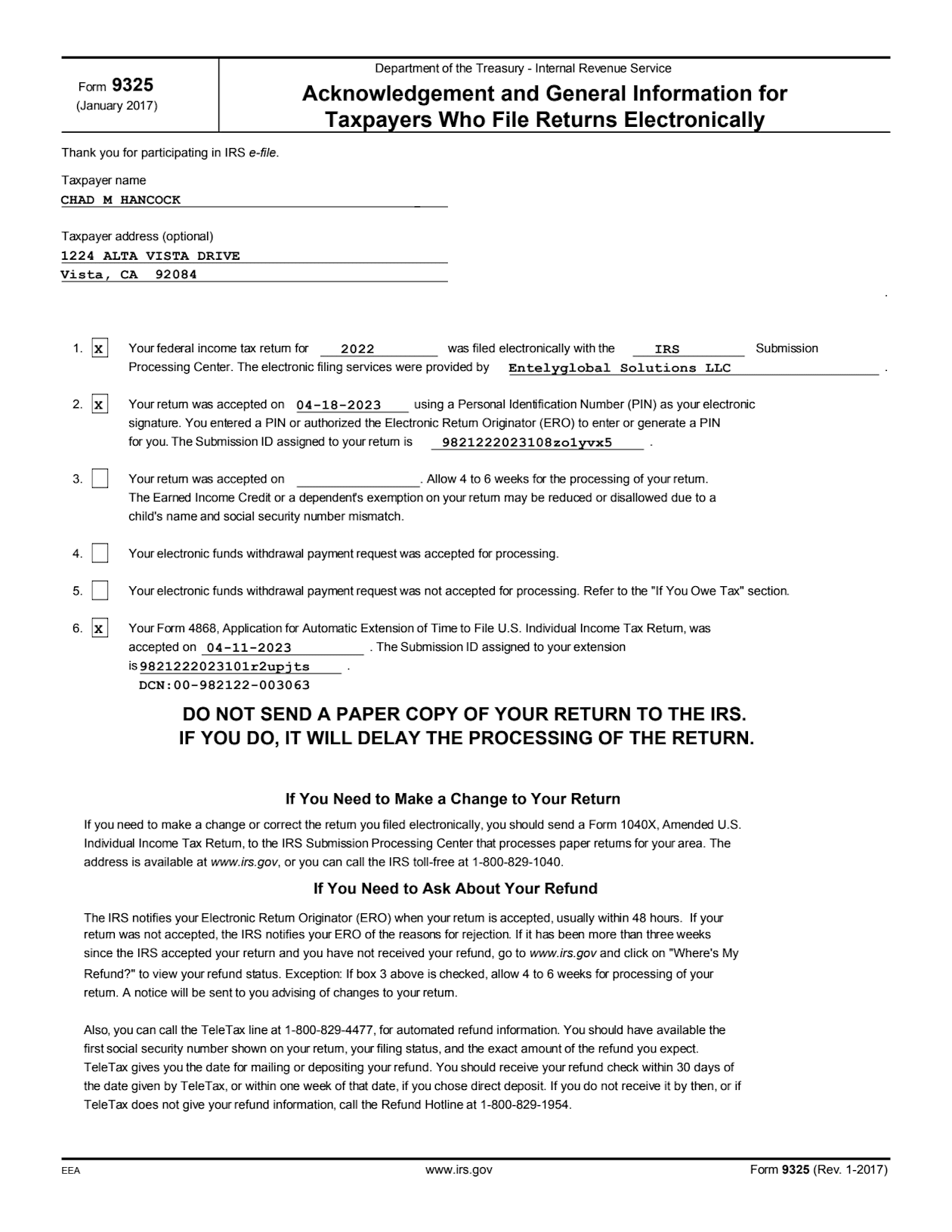
I can efile your tax returns.
Expertise in:
Individual Tax Returns (1040, 1040NR)
Form 1120 (Corporation)
Form 1099 and W-2
State Taxes
Filing and submitting State Sales Taxes
Form 1120S (S Corporation)
Form 1065 (Partnership)
Form 990 (Exempt Organization)
Form 1040 Schedule C (Sole Proprietor)
Entity type:Individual •Corporation
Income type:Business •Employment •Self-Employment •Investment •Rental +1 more
Target country: US - Federal
Industry:Construction •Education •Financial services
Please get in touch with us to discuss this further and reach out to me before placing the order.
